知行合一 万山无阻
郭文村
催眠av
—催眠av
测控技术与仪器
17级本科生
个人简介:
郭文村,女,山西汾阳人,催眠av
测控技术与仪器专业17060141班学生,本科期间,专业理论知识基础扎实,综合绩点4.145,排名6/211,现已保送至重庆大学攻读硕士学位。连续三年获得综合素质奖学金,从大二开始加入实验室提高自己的科研能力和时间能力,积极参与课内外各种比赛。
在学科竞赛方面,2020年数学建模竞赛中荣获国际大学生数学建模竞赛特等奖,该奖每年获奖率不到千分之一;同时问鼎美国工业与应用数学学会奖及美国数学学会特别奖,由此荣获山西省省委书记楼阳生书记的贺信。除此之外,还获得了:中国大学生计算机设计大赛国家级三等奖、第六届“建行杯”互联网+创新创业大赛省金、省银、"挑战杯"中国大学生创业计划大赛省银等奖项,共计国际级奖项三项、国家级奖项两项、省级奖项六项、校级奖项十余项。在科研经历方面,共参与申请国家发明专利4项,均属机械电子领域。其中三项实审,一项公开。
2020年,获“国际大学生数学建模竞赛”特等奖(Outstanding Winner)
2020年,获美国工业与应用数学学会奖(SIAM奖)
2020年,获美国数学学会特别奖(AMS奖,每年仅授予所有O奖中的3支队伍)
2020年,获“中国大学生计算机设计大赛”国家级三等奖
2020年,获“挑战杯中国大学生创业计划大赛”省部级二等奖
2020年,获“第六届互联网+大学生创新创业大赛”省金、省银各一项
01
科研之路,源于热爱
秉持着对仪器科学与技术的热爱,我从大二开始跟随催眠av
老师参与胶囊机器人的研究,在机械电子领域,共参与申请国家发明专利4项。其中三项实审,一项公开。其中我以第三发明人、第二学生发明人申请专利“一种用于小肠无创诊查的冲击驱动式胶囊机器人机构”,承担了机构的机械结构设计与绘制,在这过程中机构整体不断改进不断构思创新点,也经此我熟练掌握SolidWorks的软件。我以该发明专利为理论基础,申请了山西省大学生创新创业训练项目,获批5000元项目资金。一年期间,经过通读大量相关论文和实验改进,我了解到,挡板间距、导轨间距以及永磁体间距直接影响冲击驱动力的大小,为了实测最佳间距,我同样利用SolidWorks设计了能够改变间距的机械结构以通过实际验证寻求最佳间距,然后加以单片机电路板控制,最后实现了专利中所构想的小肠内双向主动运动的无创诊查。

02
面对挑战,永不言弃
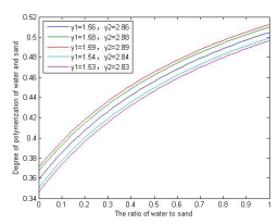
2020年3月,我加了国际大学生数学建模竞赛。团队三人在今年疫情的特殊情况下,通过线上合作完成了离散型题目“如何堆砌一个持续时间长的沙堡基础”,其要求是在潮汐、海浪及雨水侵蚀情况下建立持续时间最长的沙堡三维立体模型,我们的论文在文献调研的基础上,利用微分方程模型、模糊综合评价模型以及神经网络预测模型进行探讨。其中,我主要负责了第一个模型建立与求解,通过充分考虑沙堡基础的受影响因素以及力学分析,利用微分方程建立沙堡基础动力学方程,成功寻求到了潮汐影响下最优沙堡基础几何形状和最优水砂比例,解决了题目中的前两个问题,并利用MATLAB改变参数分析了其模型的敏度。

最终我们荣获国际大学生数学建模竞赛特等奖,该奖每年获奖率不到千分之一;同时问鼎美国工业与应用数学学会奖及美国数学学会特别奖。其中,SIAM奖每年不超过2个队,被认为是数学建模竞赛中的最高奖项,我队是今年唯一获此殊荣的国内团队;AMS奖每年仅授予所有O奖中的3支队伍,今年由我校、哈尔滨工业大学、华南理工大学的队伍获得。我队成绩是山西省在美国大学生数学建模竞赛历史上获得的最好成绩,所有奖项均是山西省首次获得。山西省省委书记楼阳生在催眠av
进行调研时把贺信亲手交到学校负责人手中,对我队取得的成绩表示祝贺。同时山西省教育厅、山西省电视台等多家媒体进行了相关采访报道。

03
一直努力,从不停歇
将一切归零,我一直在努力的路上,大三一年中我获得了:中国大学生计算机设计大赛国家级三等奖、第六届“建行杯”互联网+创新创业大赛省金、省银、"挑战杯"中国大学生创业计划大赛省银等奖项,共计国际级奖项三项、国家级奖项两项、省级奖项六项、校级奖项十余项,参与比赛的经历提高了自身的创新实践能力,成为我宝贵的大学经验。


今后我会更加努力,严格要求自己,全方面完善自己,脚踏实地将太行精神传承,为成为更好的自己而努力奋斗!